AlexNet
AlexNet在ImageNet LSVRC-2010的1000类分类比赛上实现了37.5% top-1和17.0% top-5的最小误差率,在LSVRC-2012上实现了15.3% top-5的最小误差率,这些数据是当时最好的识别结果,其实现代码也在google code上公开:cuda-convnet
本文学习AlexNet网络结构及其训练方法
预处理
AlexNet除了减去均值以外,没有执行任何预处理操作
网络架构
首先介绍最初的双GPU AlexNet架构,再介绍单GPU的AlexNet架构
双GPU AlexNet
在文章ImageNet Classification with Deep Convolutional Neural Networks中,AlexNet使用双GPU进行训练,其结构如下所示:

AlexNet包含8个可学习层:5个卷积层 + 3个全连接层组成
- 第二/四/五个卷积层的核仅与同一GPU的前一层进行连接
- 第三个卷积层的核与第二层全部连接
- 全连接层的核与前一层全部连接
- 局部归一化层跟随在第一二个卷积层后
- 重叠池化层跟随在局部归一化层后以及第
5个卷积层后 - 第三、第四和第五个卷积层直接连接
- 卷积层和全连接层都使用
ReLU作为激活函数
单GPU AlexNet
单GPU训练的AlexNet模型如下(已去除LRN):
| 输入大小 | 滤波器大小 | 步长 | 零填充 | 滤波器个数 | 输出大小 | |
|---|---|---|---|---|---|---|
| CONV1 | 227x227x3 | 11x11x3 | 4 | 0 | 96 | 55x55x96 |
| POOL2 | 55x55x96 | 3x3 | 2 | / | 96 | 27x27x96 |
| CONV3 | 27x27x96 | 5x5x96 | 1 | 2 | 256 | 27x27x256 |
| POOL4 | 27x27x256 | 3x3 | 2 | / | 256 | 13x13x256 |
| CONV5 | 13x13x256 | 3x3x256 | 1 | 1 | 384 | 13x13x384 |
| CONV6 | 13x13x384 | 3x3x384 | 1 | 1 | 384 | 13x13x384 |
| CONV7 | 13x13x384 | 3x3x384 | 1 | 1 | 256 | 13x13x256 |
| POOL8 | 13x13x256 | 3x3 | 2 | / | 256 | 6x6x256 |
| FC9 | 1x1x9216 | 1x1 | / | / | 4096 | 1x1x4096 |
| FC10 | 1x1x4096 | 1x1 | / | / | 4096 | 1x1x4096 |
| FC11 | 1x1x4096 | 1x1 | / | / | 1000 | 1x1x1000 |
224还是227
在原文中作者输入图像大小为224x224,不过经过推算不符合网络计算,应该使用227x227作为输入图像大小
神经元和参数个数
整个网络约有6千万个参数和65万个神经元,计算如下:
输入层大小
227x227x3,输入维数是15,4587第一层卷积层卷积核大小为
11x11x3,步长4,滤波器个数96,所以参数个数是(11x11x3)x96+96=3,4944,输出大小为55x55x96=29,0400- 池化层滤波器大小为
3x3,步长2,所以输出大小为27x27x96
- 池化层滤波器大小为
第二层卷积层卷积核大小为
5x5x96,零填充2,滤波器个数256,所以参数个数是(5x5x96)x256+256=61,4656,输出大小为27x27x256=18,6624- 池化层滤波器大小为
3x3,步长2,所以输出大小为13x13x256
- 池化层滤波器大小为
第三层卷积层卷积核大小为
3x3x256,零填充1,滤波器个数是384个,所以参数个数是(3x3x256)x384+384=88,5120,输出大小为13x13x384=6,4896第四层卷积层卷积核大小为
3x3x384,零填充1,滤波器个数是384个,所以参数个数是(3x3x384)x384+384=132,7488,输出大小为13x13x384=6,4896第五层卷积层卷积核大小为
3x3x384,零填充1,滤波器个数是256,所以参数个数是(3x3x384)x256+256=88,4992,输出大小为13x13x256=4,3264- 池化层滤波器大小为
3x3,步长2,所以输出大小为6x6x256
- 池化层滤波器大小为
第一层全连接层大小为
4096,所以参数个数是(6x6x256)x4096+4096=3775,2832,输出大小为4096第二层全连接层大小为
4096,所以参数个数是4096x4096+4096=1678,1312,输出大小为4096输出层大小为
1000,所以参数个数是4096x1000+1000=409,7000
神经元总个数是15,4587+29,0400+18,6624+6,4896+6,4896+4,3264+4096+4096+1000=81,3859(不包括输入层就是65,9272)
参数总个数是3,4944+61,4656+88,5120+132,7488+88,4992+3775,2832+1678,1312+409,7000=6237,8344
特性
主要有4点:
- 使用
ReLU作为激活函数提高训练速度 - 多
GPU训练 - 使用局部响应归一化(
LRN)方法增加泛化能力 - 使用重叠池化层(
Overlapping Pool)提高泛化能力
ReLU
之前标准的激活函数是tanh()和sigmoid()函数,文章中使用ReLU(Rectified Linear Units,修正线性单元)作为神经元激活函数
使用4层卷积神经网络训练CIFAR-10数据集,比较达到25%训练误差率的时间,使用ReLU能够比tanh快6倍

多GPU训练
AlexNet使用两块GTX 580 GPU,在深度上进行切分,将每层一半神经元分别放置在不同GPU上进行训练
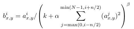
局部响应归一化
数学实现如下:

经过ReLU激活后的卷积图,第i层上的位置为(x,y)的神经元值a,需要除以其相邻n个层相同位置的神经元值之和。常量k,n,
其目的是实现神经元的侧抑制(lateral inhibition),在不同层之间进行竞争,使响应值大的神经元变得更大,并抑制其他较小的神经元
LRN(Local Response Normalization,局部响应归一化)能够提高泛化能力:在ImageNet 1000类分类任务中,LRN减少了1.4% top-1和1.2% top5的错误率;在cifar-10数据集测试中,一个4层神经网络能达到13%测试误差率(没有LRN)和11%测试误差率(有LRN)
在之后其他网络的测试中发现LRN对训练结果提高几乎没有影响,所以不再使用
重叠池化层
传统的池化层步长和滤波器大小相同(s=z=2),所以滤波器操作不会重叠
alexnet使用重叠池化(Overlapping Pool)操作,步长小于滤波器大小(s=2,x=3,s<z),这在1000类分类任务上能够实现0.4% top-1和0.3% top-5的提高。在训练过程中能够发现重叠池化模型更难以过拟合
避免过拟合手段
- 数据扩充(
data augmentation) - 随机失活(
dropout)
数据扩充
文章中提到了两种方式
第一种方式是生成图像转换和水平映射。在训练阶段,获取256x256大小的数据集,再从中随机获取227x227大小的训练图像,同时通过水平映像(horizontal reflection)操作来扩大数据集;在测试阶段,使用同样方式裁剪5个
第二种方式是改变训练数据的通道强度,对于每个RGB图像像素

其中eigenvector),covariance matrix)的特征值,mean zero)和0.1标准方差(standard deviation)的服从高斯分布的随机变量,特定训练图像上的每个像素使用的
使用PCA改变图像强度的理论基础是自然图像的一个重要特性:物体同一性不随照明强度和颜色的变化而变化
这种方法减少了至少1% top-1误差率
随机失活
集合不同网络模型进行预测能够很好的减少测试误差,但是对于大网络而言需要耗费很多时间进行训练。随机失活(dropout)操作对中间隐含层进行操作,以0.5的概率判断该神经元是否失效,即这个神经元不进行前向操作,也不进行反向更新
有两点优势:
- 每次进行训练都是在不同的网络架构上,与此同时这些不同的网络架构共享同一套权重
- 减少神经元复杂的共适应性(
co-adaptation),神经元不能依赖于某个特定的神经元
在测试阶段,对所有神经元的输出都乘以0.5,以获取指数多个dropout网络产生的预测分布的几何平均值
在alexnet模型中,对前两个全连接层进行dropout操作。如果没有dropout,整个网络会严重过拟合,并且训练过程达到收敛的时间大致增加了一倍
学习细节
批量大小为128,使用动量值为0.9,权重衰减率为5e-4,权重更新公式如下:
权重初始化为0均值,0.01标准差的高斯分布
第二、第四、第五个卷积层层和全连接层的偏置值初始化为
学习率初始化为0.01,在终止之前共减少了3次